有机合成系列 | 缩合反应:羟醛缩合(Aldol condensation)
有机合成系列 | 缩合反应:羟醛缩合(Aldol condensation)

[概念]
含有a-氢原子的醛或酮在催化剂作用下,生成b-羟基醛、酮的反应,称为羟醛缩合,也叫醇醛缩合。该反应通常在碱催化下进行,有时也在酸催化下进行。
[反应通式]

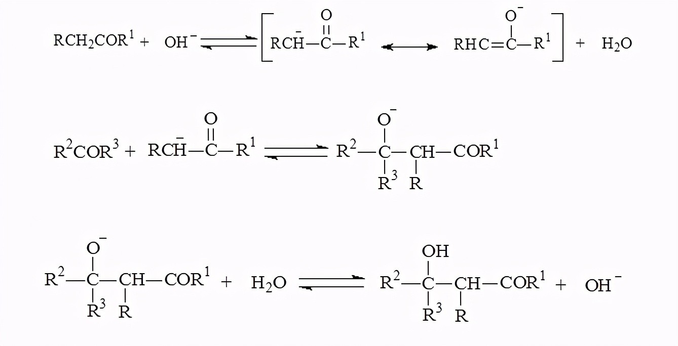
[反应机理]
碱催化反应机理:

酸催化反应机理:

缩合产物b-羟基醛、酮通常经酸催化脱水,或在加热下脱水,生成a、b-不饱和醛、酮。

[反应中应注意的问题]
羟醛缩合反应中醛与不含a-氢原子的醛进行缩合时,需要控制碱的强度,以免发生Cannizzaro反应。
羟醛缩合反应是可逆反应。
羟醛缩合反应广泛用于有机合成,它是增长碳链一种有效方法。二醛及二酮进行分子内羟醛缩合,可制取环状化合物,特别是五元环和六元环状化合物,此类反应可用于萜及甾族化合物的合成。
[反应实例]

-
- 硬汉普京的爱犬们
-
2026-01-11 00:17:00
-
- 外国女性用一对父子精液生子引争议,原因让人无奈
-
2026-01-11 00:14:46
-
- 特朗普获跆拳道黑带九段最高荣誉称号,普京此前也获得过此荣誉
-
2026-01-11 00:12:32
-
- 四川是造反第一大省是真假的?
-
2026-01-11 00:10:17
-
- 墙绘的意义
-
2026-01-11 00:08:03
-
- 「发现澳门」打卡热点:十月初五街“彩虹屋”
-
2026-01-10 20:08:14
-
- 《动漫头像》伪情侣,干物妹小埋系列兄妹头像
-
2026-01-10 20:06:00
-
- 作为和平的象征“它”,人们又为何称它为“会飞的老鼠”?
-
2026-01-10 20:03:46
-
- 武汉军运会即将开幕
-
2026-01-10 20:01:31
-
- 微胖的女生就是好看,丰腴性感
-
2026-01-10 19:59:17
-
- 世界3大船王,两位华人船王分别名列第一,第二
-
2026-01-10 19:57:03
-
- 如何理解“不思量,自难忘”?
-
2026-01-10 19:54:48
-
- 每日一星—— 游本昌
-
2026-01-10 19:52:34
-
- 可以看到鬼的通灵动物,你真的知道吗?
-
2026-01-10 19:50:20
-
- 就是不换主力!尼克斯狂轰145分击败掘金
-
2026-01-10 19:48:05
-
- 长沙世界之窗,值得一去
-
2026-01-10 16:09:00
-
- 郁欢-烟火里的尘埃DJ版试听
-
2026-01-10 16:06:45
-
- 帕加尼宗达C12《风之子》超级跑车,日内瓦车展实拍!不容错过!
-
2026-01-10 16:04:31
-
- 虐妻一时爽追妻火葬场合集
-
2026-01-10 16:02:16
-
- 男士个性短发发型 潮男帅哥抢先剪
-
2026-01-10 16:00:02



李小龙究竟有多厉害?创造9项世界纪录,至今没人能挑战成功
全国十大火车站排名