线性代数的秘密:矩阵的特征值怎么求?
线性代数的秘密:矩阵的特征值怎么求?
说起矩阵的特征值,需要讲的东西实在是太多太多才能获其精髓,我今天只教大家如何计算特征值,之后再说特征值的意义是什么吧。

今天我就打算讲明白这一个公式,它非常重要,希望大家牢记,我们以后会经常提到:


话不多说,让我们开门见山:
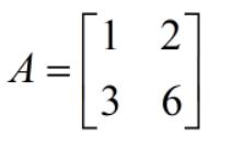
有请我们的老朋友

如何求这个矩阵的特征值呢?
直接代入上面那个公式,就可以得到:

化简可得:


我们发现,我们的明星矩阵有两个不同的特征值,而且都不为0。
而

我们再试几个:

这个矩阵12 36 成比例,秩明显是1
这个矩阵的rank明显是1,不满秩。

我们发现,不满秩的矩阵虽然也有两个不同的特征值,但有一个特征值是0,有一个不为0。
我们再看一个三阶的:

先看一下它的秩是多少?
用第三行减第一行,第三行变成0,第二行减第一行,第二行也变为0,然后只留下第一行没办法变了,这就是最简形式,它的秩是1。


我们继续代入之前那个公式看一下效果:


这个秩为1的矩阵,居然只有一个非零的特征值3。还需强调一下,我们这里只研究方块矩阵的特征值,因为它和我们的物理学,工程学息息相关,具有现实意义(这一次我先不讲,比如自然界中物体的本征频率就和特征值有关系)如果没有实际意义的话,我想也不会有人愿意研究它。

你学会计算矩阵的特征值了吗?特征值和矩阵的秩又有什么关系呢?欢迎大家思考后留言讨论。

-
- 有人说这是我军的三三制战术?我看显然不是
-
2025-01-12 01:06:31
-
- “一字马”女生高考成绩出来了,考上457分很开心,网友却炸锅了
-
2025-01-12 01:04:17
-
- chatGPT写的《流浪地球》影评
-
2025-01-12 01:02:02
-
- 关于《猫和老鼠》1945年发生的恐怖事件
-
2025-01-12 00:59:47
-
- 假冒军人自称是“北京军区军委”工作人员? 详细内幕曝光!
-
2025-01-12 00:57:33
-
- 汽车混合气过浓的原因以及如何解决
-
2025-01-12 00:55:18
-
- 汽车混合气过浓的原因以及如何解决
-
2025-01-12 00:53:03
-
- 青岛租房即可落户,快来探索这座未来之城!
-
2025-01-12 00:50:49
-
- 全国段子手集体出动,抵制地域黑..
-
2025-01-12 00:48:34
-
- 本·华莱士(Ben Wallace)
-
2025-01-11 06:48:56
-
- 《明日之子》张钰琪夺冠:有气场的女孩都有这三个优点
-
2025-01-11 06:46:41
-
- 推文:五本高质量女主穿越古代言情小说,越读越经典!
-
2025-01-11 06:44:27
-
- 内地第一双胞胎主持人 王珊 & 王璐
-
2025-01-11 06:42:13
-
- 乐摘17!七大草莓基地地址请收藏好!
-
2025-01-11 06:39:58
-
- 狂龙十八段:楼市之随想-盛极而衰
-
2025-01-11 06:37:44
-
- 决战沙漠:坦克大战以军全军覆没!
-
2025-01-11 06:35:30
-
- 详细!南宁地铁3号线途径站点逐一图解,快看经过你家或者单位咩?
-
2025-01-11 06:33:16
-
- 什么是“云吸猫”?
-
2025-01-11 06:31:02
-
- 强烈建议收藏丨十款爆款微信小程序游戏,再也不会整天喊无聊了
-
2025-01-11 06:28:47
-
- 科学论证《人民的名义》里陈海最后的结局!
-
2025-01-11 06:26:33



西游记中猪八戒最后被封为什么?很多人还不知道
梁静和丈夫的婚姻有多幸福?看看她有多宠管虎就知道了